Carbon:通过界面改性和去除超氧自由基实现高效稳定钙钛矿太阳能电池的富勒烯衍生物阻挡层
我团队在《Carbon》(中科院2区,影响因子10.9)发表了题为“Fullerene derivatives barrier layer for efficient and stable perovskite solar cells through interfacial modification and removal of superoxide radicals”的研究论文,我团队博士研究生廖令为第一作者,金波教授和彭汝芳教授为通讯作者,西南科技大学为第一通讯单位。
【研究背景】
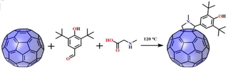
C60HTB作为TiO2和钙钛矿之间的中间层,清除O2-,改善不良接触。该过程增加了钙钛矿晶粒尺寸,并通过降低光生电子转移能垒来促进光生电子转移。此外,C60HTB主动提供额外的质子来结合O2-,以抑制MA+和I-氧化的去质子化。因此,C60HTB中间层极大地过滤了O2-对钙钛矿层的攻击。冠军器件实现了21.63%的功率转换效率(PCE)。目标器件在全光谱光照下老化48 h、紫外光照下老化240 h、空气暗存500 h后,其初始功率转换效率分别保持91.20%、94.86%和89.36%。本研究为提高psc在光/氧中的稳定性提供了一种可扩展的策略。
【工作简介】

利用C60HTB作为中间层对TiO2/钙钛矿界面进行修饰,可以减弱TiO2在钙钛矿上的催化分解反应,改善界面接触不良的状况,为钙钛矿获得更大粒径的钙钛矿薄膜提供更光滑的衬底。C60HTB还钝化了界面缺陷态,减少了不良的界面电荷络合。此外,C60HTB降低了光生电子转移能垒,加速了光生电子转移。因此,添加C60HTB中间层获得了PCE为21.63%的冠军器件,并且抑制了界面O2-的生成。更重要的是,C60HTB能有效清除TiO2/钙钛矿界面生成的O2-,阻断O2-对钙钛矿膜的催化分解反应。在光/氧、紫外光和黑暗空气中加入C60HTB中间层后,器件的稳定性显著提高,器件PCE显著增强。在本研究中,添加C60HTB中间层为增强TiO2基PSCs的稳定性提供了一种很有前途的通用方法。
文章链接:https://doi.org/10.1016/j.carbon.2024.119173.